• Предмет: Алгебра
  • Автор: illias070809
  • Вопрос задан 3 года назад

3^2n*5^n*(1/45) ^n срочно

Ответы

Ответ дал: manyny06
1

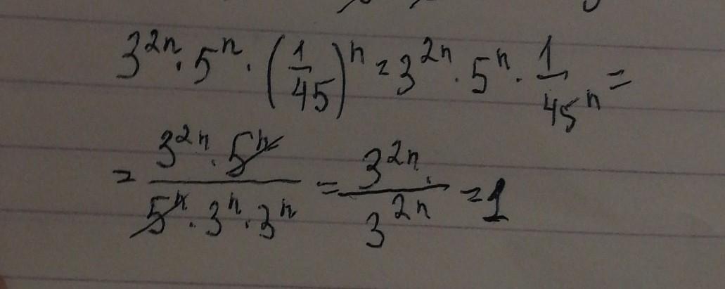
Ответ:

решение смотри на фотографии

Приложения:
Ответ дал: ludmilaksenija2005
0

Объяснение:

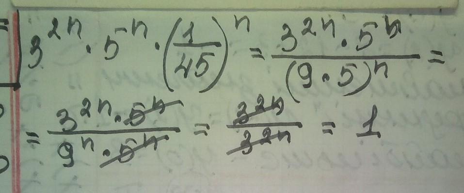
Решение на фото __-____

Приложения:
Вас заинтересует