• Предмет: Алгебра
  • Автор: Irenka82
  • Вопрос задан 3 года назад

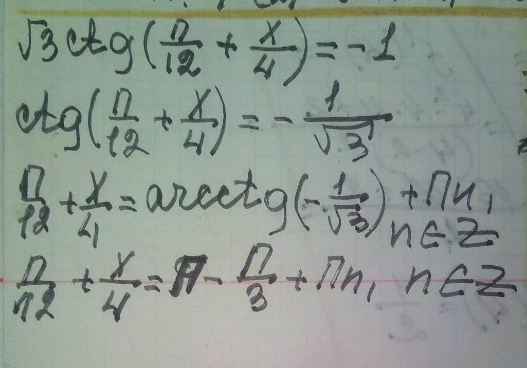
√3ctg(pi/12+x/4)=-1 Помогите решить пожалуйста!)

Ответы

Ответ дал: manyny06
0

Ответ:

решение смотри на фотографии

Приложения:
Вас заинтересует