• Предмет: Математика
  • Автор: lenazima7773
  • Вопрос задан 3 года назад

ОЧЕНЬ СРОЧНО!!
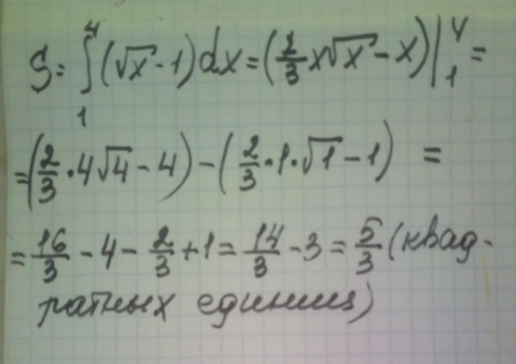
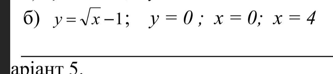
Обчистить площу фігури, обмеженої лініями
Задание на фото

Приложения:

Ответы

Ответ дал: manyny06
1

Ответ:

решение смотри на фотографии

Приложения:
Вас заинтересует