Найдите значение выражения. Если можно с объяснением.
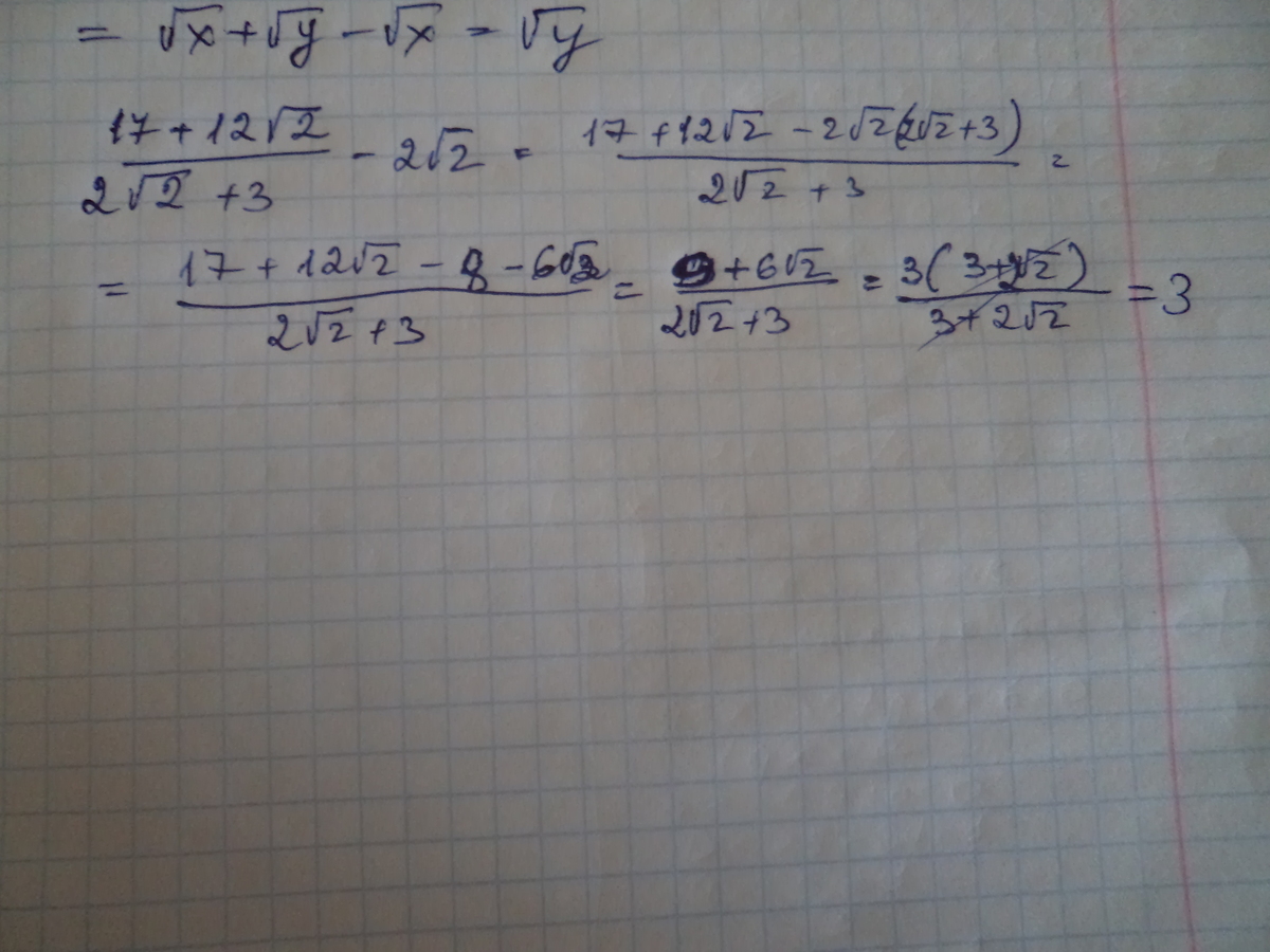
17+12корень из 2/2корень из 2 +3 -2корень из 2
Ответы
Ответ дал:
21
решениеееееееееееееееееееееееее
Приложения:

Ответ дал:
9
17+12корень из 2/2корень из 2 +3 -2корень из 2 =(17+12√2)/(2√2+3)-2√2=(3²+(2√2)²+12√2)/(2√2+3)-2√2=(3+2√2)²/(2√2+3)-2√2=2√2+3-2√2=3
Вас заинтересует
2 года назад
2 года назад
2 года назад
7 лет назад
7 лет назад
9 лет назад