• Предмет: Физика
  • Автор: falibogamaks
  • Вопрос задан 3 года назад

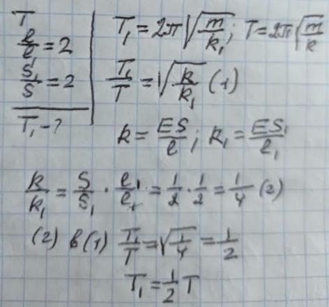
Гармонічні коливання потрібен хід розв'язку

Приложения:

Ответы

Ответ дал: zybkov1950
1

Відповідь: Б

Пояснення:

Приложения:

falibogamaks: що таке S &
falibogamaks: ???
Вас заинтересует