• Предмет: Математика
  • Автор: Reideen
  • Вопрос задан 3 года назад

Задание приложено...

Приложения:

Ответы

Ответ дал: oqilovmehrob
1

Ответ:

111111111111111111111111111

Приложения:
Ответ дал: mathkot
0

Ответ:

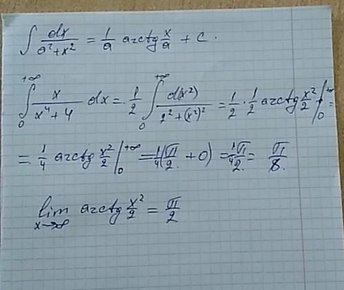
\boldsymbol{ \boxed { \displaystyle \int\limits^{+\infty}_{0} {\frac{x}{x^{4} + 4} } \, dx = \frac{\pi}{8} } }

Примечание:

По таблице интегралов:

\boxed{\int {\frac{dx}{x^{2} + a^{2}} } = \frac{1}{a} \ \text{arctg} \ \frac{x}{a} + C }

По свойствам интегралов:

\boxed{ \displaystyle \int \sum\limits_{i=1}^n {C_{i}f_{i}(x)} \, dx = \sum\limits_{i=1}^nC_{i} \int {f_{i}(x)} \, dx}

Пошаговое объяснение:

\displaystyle \int\limits^{+\infty}_{0} {\frac{x}{x^{4} + 4} } \, dx- несобственный интеграл 1 рода

Если существует предел существует конечный предел у несобственного интеграла, то данный интеграл является сходящимся.

Рассмотрим неопределенный интеграл  \displaystyle \int {\frac{x}{x^{4} + 4} } \, dx.

\displaystyle \int {\frac{x}{x^{4} + 4} } \, dx =  \int {\frac{d(x^{2})}{2(x^{4} + 4)} } = \frac{1}{2}  \int {\frac{d(x^{2})}{(x^{2})^{2} + 2^{2}} } =

-------------------------------------------------------------------------------------------------------

Замена: x^{2} = t

--------------------------------------------------------------------------------------------------------

\displaystyle  \frac{1}{2}  \int {\frac{dt}{t^{2} + 2^{2}} } =  \frac{1}{2}  \cdot   \frac{1}{2} \ \text{arctg} \bigg(\frac{t}{2}  \bigg) + C = \frac{1}{4} \ \text{arctg} \bigg(\frac{x^{2} }{2}  \bigg) + C

Для вычисления несобственного 1 рода воспользуемся двойной несобственной подстановкой:

\displaystyle \int\limits^{+\infty}_{0} {\frac{x}{x^{4} + 4} } \, dx = \bigg(\frac{1}{4} \ \text{arctg} \bigg(\frac{x^{2} }{2}  \bigg) \bigg) \bigg|^{+\infty}_{0}= \lim_{x \to \infty}  \bigg( \frac{1}{4} \ \text{arctg} \bigg(\frac{x^{2} }{2}  \bigg) \bigg) - \bigg( \frac{1}{4} \ \text{arctg} \bigg(\frac{0^{2} }{2}  \bigg) \bigg)=

\displaystyle   \frac{1}{4}\lim_{x \to \infty}  \bigg( \ \text{arctg} \bigg(\frac{x^{2} }{2}  \bigg) \bigg) - \bigg( \frac{1}{4} \ \text{arctg} \bigg(\frac{0 }{2}  \bigg) \bigg)=   \frac{1}{4} \cdot \frac{\pi}{2}  - \bigg( \frac{1}{4} \cdot0 \bigg)=\frac{\pi}{8} - 0 = \frac{\pi}{8}

Так как асимптота графика y = \text{arctg} \ x при x \to + \infty это y = \dfrac{\pi}{2}, то \displaystyle\lim_{x \to \infty}  \bigg( \ \text{arctg} \bigg(\frac{x^{2} }{2}  \bigg) \bigg)=\frac{\pi}{2}.

Приложения:
Вас заинтересует