• Предмет: Физика
  • Автор: tanikstefanuk
  • Вопрос задан 3 года назад

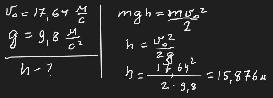
Петро жбурляє мяч угору. Початкова швидкiсть = 17,64 м/с. Прискорення вiльного падiння = 9,8 м с . (a) Визначити максимальну висоту пiдняття м'яча над рiвнем, з якого Петро його кинув.

Ответы

Ответ дал: zybkov1950
0

Відповідь: 15,876 м

Пояснення:

Приложения:
Ответ дал: anastasiiiaa17
0

Дано:

v0 = 17,64 м/с

g = 9,8 м/с²

Найти:

h - ?

Формула:

h = v0²/2g

Решение:

h = 17,64²/2×9,8 = 17,64²/19,6 = 15,876 м.

Ответ: h - 15,876 м.


Cohendd: И это сами?)))) Своровали)
Вас заинтересует