• Предмет: Физика
  • Автор: vorobetsmykhaylo
  • Вопрос задан 3 года назад

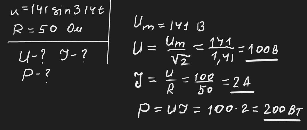
ДУЖЕ СРОЧНО ПОМОЖІТЬ !! Коло з активним опором 50 Ом приєднане до джерела синусоїдної напруги U=141sin314t В. Визначте діюче значення напруги і струму в колі, активну потужність

Ответы

Ответ дал: zybkov1950
0

Відповідь: Див. додаток

Пояснення:

Приложения:
Вас заинтересует