• Предмет: Математика
  • Автор: sidzanovaajzada
  • Вопрос задан 3 года назад

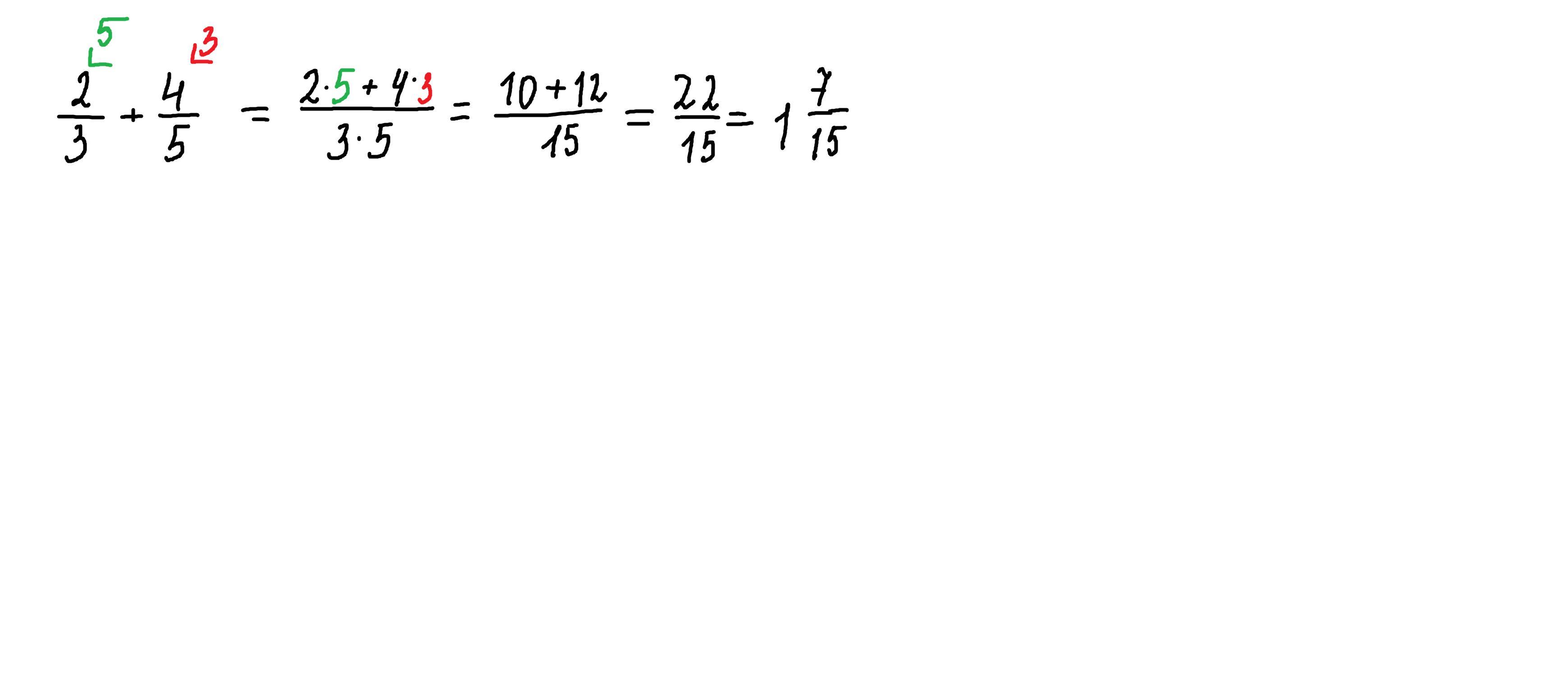
Пожалуйста помогите решить 2/3+4/5 какие цифры стоят в углах 2 и 4

Ответы

Ответ дал: parus77
0

Ответ:

Пошаговое объяснение:

это наз.дополнительные множители

Т.к. здесь знаменатели  3 и 5 это взаимно простые числа,т.е у них нет целых  общих делителей кроме1,поэтому общим знаменателем будет их произведение   3*5=15.Поэтому допол. множитель к 2 будет 5,а к 4 будет 3.

смотри внизу.

Приложения:
Вас заинтересует