• Предмет: Алгебра
  • Автор: gmfilcom42
  • Вопрос задан 3 года назад

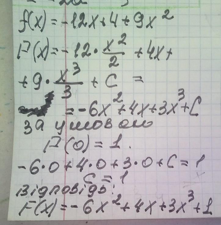
Для функції f(x) знайти первісну, графік якої проходить через точку


fx=−12x+4+9x^2,M:0;1.

Ответы

Ответ дал: manyny06
1

Ответ:

решение смотри на фотографии

Приложения:

gmfilcom42: дякую тобі ти мене врятував
Вас заинтересует