• Предмет: Математика
  • Автор: denisskvarilo
  • Вопрос задан 3 года назад

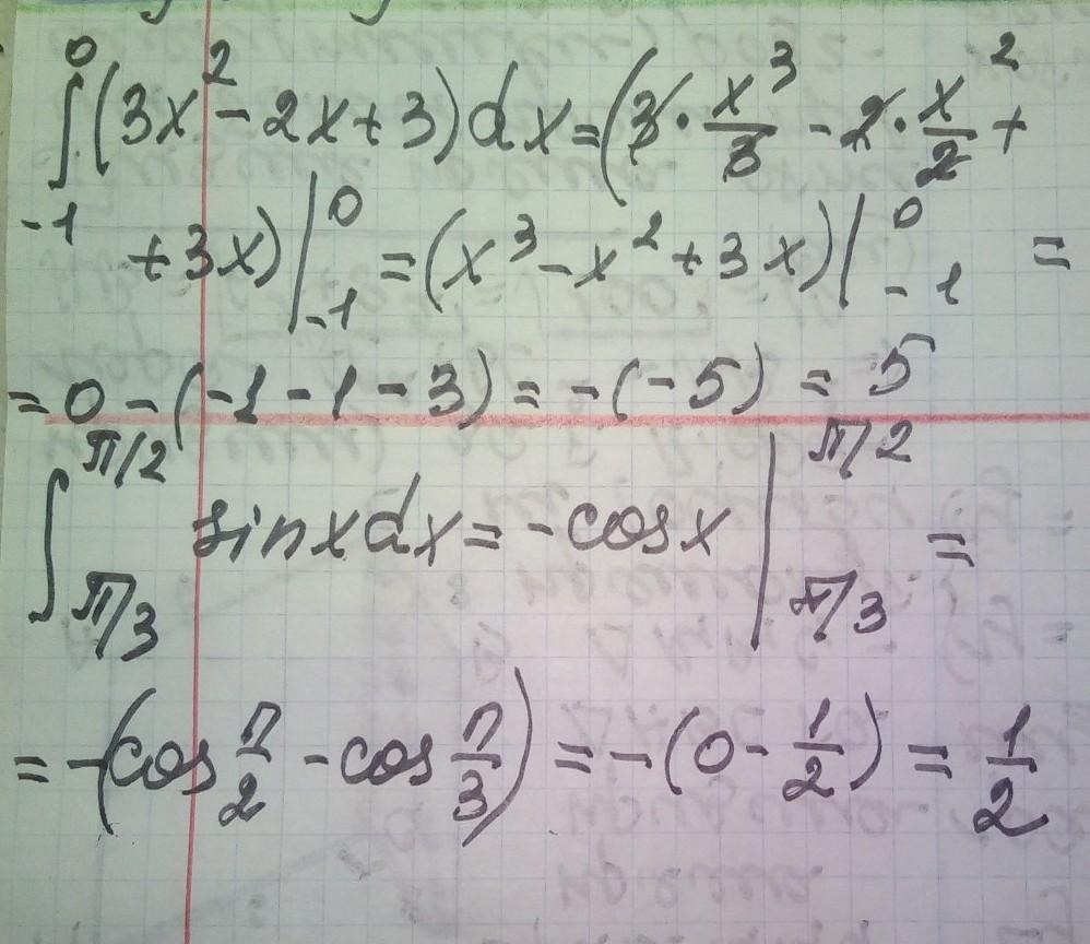
Обчислити
( допоможіть будь ласка)

Приложения:

Ответы

Ответ дал: manyny06
0

Ответ:

решение смотри на фотографии

Приложения:
Вас заинтересует