• Предмет: Геометрия
  • Автор: okimkawaii
  • Вопрос задан 3 года назад

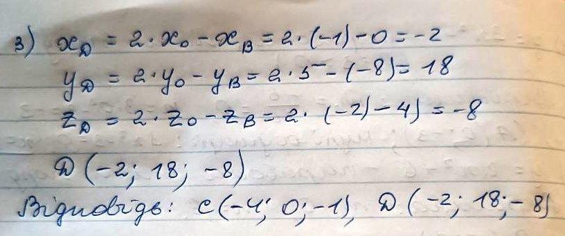
Точки А(2;10;-3) и В(0;-8; 4) – вершины параллелограмма АВСD, точка О(-1;5;-2) – точка пересечения его диагоналей. Найти координаты вершин С и D параллелограмма АВСD.

Ответы

Ответ дал: ViSanM
1

Ответ:

С(-4;0;-1), D(-2;18;-8)

Объяснение:

Приложения:
Ответ дал: Vopoxov
1

Ответ:

С = С (-4; 0; -1)

D = D (-2; 18; -8)

Приложения:
Вас заинтересует