• Предмет: Математика
  • Автор: melgelhel
  • Вопрос задан 3 года назад

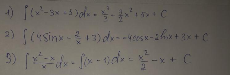
решите пожалуйста примеры интегралами

Приложения:

Ответы

Ответ дал: DavLab
0
Решение на фото. Используются табличные формулы и свойство интегралов - линейность.
Приложения:
Вас заинтересует