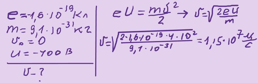
8.Електрон, рухаючись із стану спокою , пройшов різницю потенціалів -400 В. Якої швидкості набув електрон?
Ответы
Ответ дал:
2
Відповідь: 11,5 Мм/с
Пояснення:
Приложения:

Вас заинтересует
2 года назад
2 года назад
2 года назад
2 года назад
7 лет назад
7 лет назад
9 лет назад
9 лет назад