Ответы
Ответ дал:
1
Ответ:
Див. фото
Пошаговое объяснение:
Приложения:



Ответ дал:
0
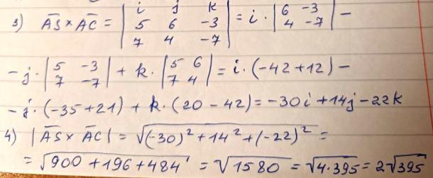
Находим векторы AS и AC.
AS = (2-(-3); 4-(-2); 1-4) = (5; 6; -3),
модуль равен √(5² + 6² + (-3)²) = √(25 + 36 + 9) = √70.
AC = (4-(-3); 2-(-2); -3-4) = (7; 4; -7)
модуль равен √(7² + 4² + (-7)²) = √(49 + 16 + 49) = √114.
114 = 2·3·19, 70 = 2·5·7.
cos A = (5*7+6*4+(-3)*(-7))/( √70*√114) = 80/(2√1995) =
= 40/√1995 ≈ 0,895547.
Угол А равен 0,461137 радиан или 26,42118 градуса.
Вас заинтересует
2 года назад
2 года назад
2 года назад
7 лет назад
7 лет назад
9 лет назад