• Предмет: Физика
  • Автор: Аноним
  • Вопрос задан 3 года назад

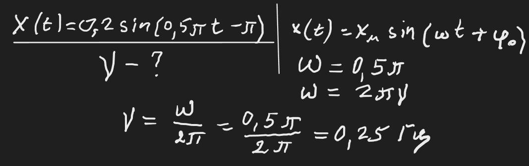
Визначити частоту коливань маятника, якщо закон коливань має вигляд: x(t)=0,2sin(0,5πt-π).

Ответы

Ответ дал: zybkov1950
0

Відповідь: 0,25 Гц

Пояснення:

Приложения:
Вас заинтересует