Ответы
Ответ дал:
0
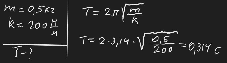
Відповідь: 0,314 с
Пояснення:
Приложения:

Вас заинтересует
2 года назад
2 года назад
2 года назад
7 лет назад
7 лет назад
9 лет назад