• Предмет: Алгебра
  • Автор: mmega2751
  • Вопрос задан 3 года назад

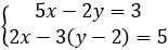
Решите систему уравнений:

Приложения:

Ответы

Ответ дал: Аноним
0

Ответ:

(1;1)

Объяснение:

{5х-2у=3

{2х-3у+6=5

{5x-2y=3 {15x-6y=9

{2x-3y=-1 {4x-6y=-2

{5x-2y=3 {5-3=2y y=1

{11x=11 {x=1

Ответ дал: Пеппер
0

Ответ:

(1; 1)

Объяснение:

5х-2у=3

2х-3(у-2)=5

5х-2у=3

2х-3у+6=5

5х-2у=3 (умножим на 3)

2х-3у=-1 (умножим на -2)

15х-6у=9

-4х+6у=2

11х  =   11;             х=1

5*1-2у=3;  2у=2;   у=1

Вас заинтересует