• Предмет: Физика
  • Автор: gmqkp7r6sk
  • Вопрос задан 3 года назад

Срочно,помогите пожалуйста с физикой.
нужен точный ответ.

Приложения:

Ответы

Ответ дал: zybkov1950
1

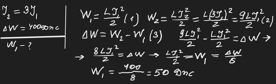
Відповідь: 50 Дж

Пояснення:

Приложения:
Вас заинтересует