• Предмет: Физика
  • Автор: usgsdgdsjsj
  • Вопрос задан 3 года назад

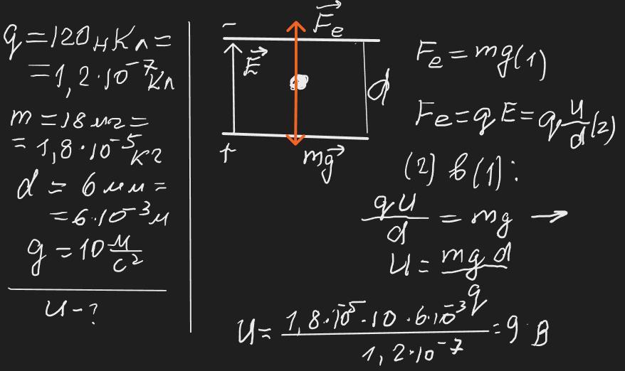
Порошинка, що має заряд 120 нКл, знаходиться в завислому стані в однорідному електричному полі між різнойменними зарядженими пластинами. Якщо маса порошинки 18 мг, то якою буде напруга між пластинами? Відстань між пластинами 6 мм.

Ответы

Ответ дал: zybkov1950
0

Відповідь: 9 В

Пояснення:

Приложения:
Вас заинтересует