• Предмет: Математика
  • Автор: 2cxkv58hgs
  • Вопрос задан 3 года назад

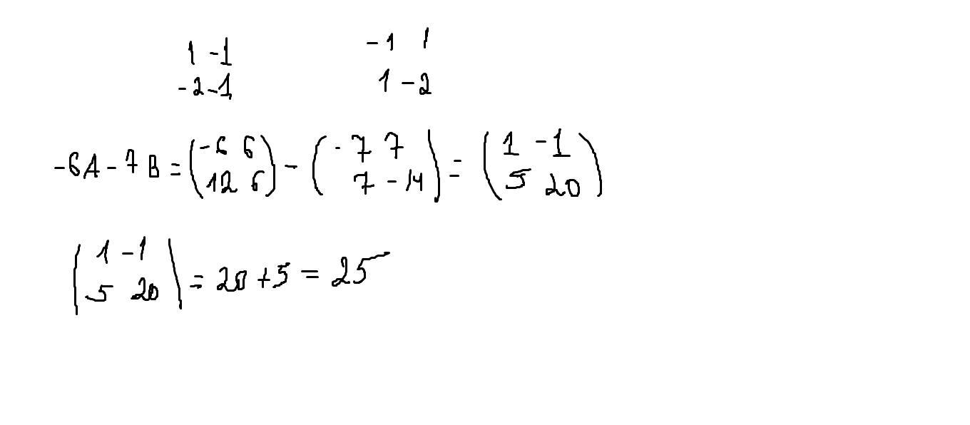
Даны матрицы А= 1 -1: -2 -1 и В= -1 1: 1 -2.

Определитель матрицы -6А-7В равен ..

Ответы

Ответ дал: tikader
2

Ответ:

Пошаговое объяснение:

Приложения:
Ответ дал: lolomg40
1

Ответ:

25

Пошаговое объяснение:

Вас заинтересует