• Предмет: Алгебра
  • Автор: ifeelsobad
  • Вопрос задан 3 года назад

Помогите, пожалуйста, решить уравнение

Приложения:

Ответы

Ответ дал: nigaidaisanji
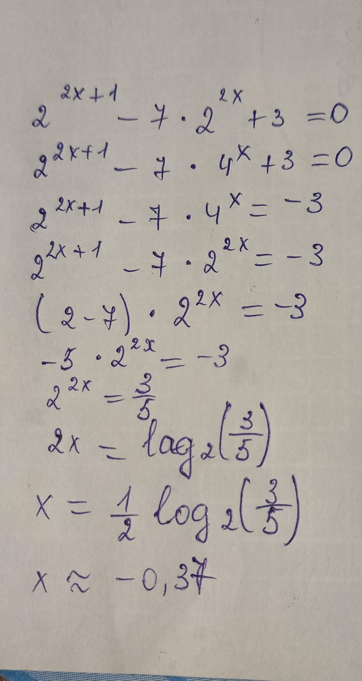
1

1/2 log2(3/5)

вроде так

Приложения:
Ответ дал: Alnadya
3

Решение.

\bf 2^{2x+1}-7\cdot 2^{2x}+3=0

Применим свойство:   \bf a^{n+k}=a^{n}\cdot a^{k}}  .

\bf 2\cdot 2^{2x}-7\cdot 2^{2x}+3=0\\\\-5\cdot 2^{2x}=-3\\\\2^{2x}=\dfrac{3}{5}  

По определению логарифма имеем   \bf 2x=log_2\, \dfrac{3}{5}  .

\bf x=\dfrac{1}{2}\cdot log_2\, \dfrac{3}{5}\\\\x=log_2\sqrt{\dfrac{3}{5}}  

Ответ:   \bf x=log_2\sqrt{\dfrac{3}{5}}\ \ \ (\ x\approx -0,3685\ )  .

Вас заинтересует