• Предмет: Математика
  • Автор: Аноним
  • Вопрос задан 3 года назад

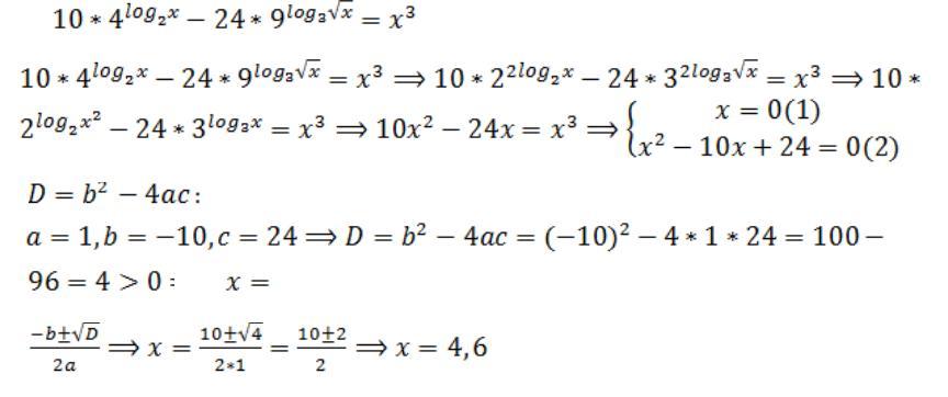
10* 4 log₂x -24 * 9 logₐ√x = x³


BMW52: У вас уравнение с параметром?

Ответы

Ответ дал: Аноним
2

Ответ:

x = 0

x = 4

x = 6

Пошаговое объяснение на фото

Приложения:

Аноним: спасибо огромное
nepustilipoeta: нуль не может быть ответом. Вами не учтена ОДЗ.
Вас заинтересует