• Предмет: Физика
  • Автор: annatrohimenko3
  • Вопрос задан 3 года назад

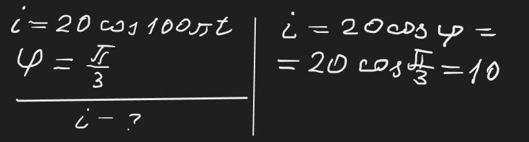
Сила змінного струму задається рівнянням і=20соs100πt Визначте значення сили струму при фазі π/3 рад. Відповідь запишіть без одиниць вимірювання

Ответы

Ответ дал: zybkov1950
0

Відповідь: 10

Пояснення:

Приложения:
Вас заинтересует