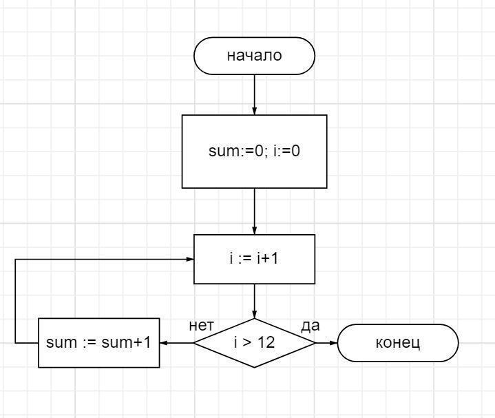
Скласти блок-схеми для розв’язання наступних задач:
А) Обрахунку суми чисел від 0 до 12
помогитееее
Ответы
Ответ дал:
0
Ответ:
блок-схема во вложении
Пошаговое объяснение:
приведена во вложении
#SPJ1
Приложения:

Вас заинтересует
2 года назад
2 года назад
2 года назад
7 лет назад
9 лет назад