• Предмет: Физика
  • Автор: c985330
  • Вопрос задан 3 года назад

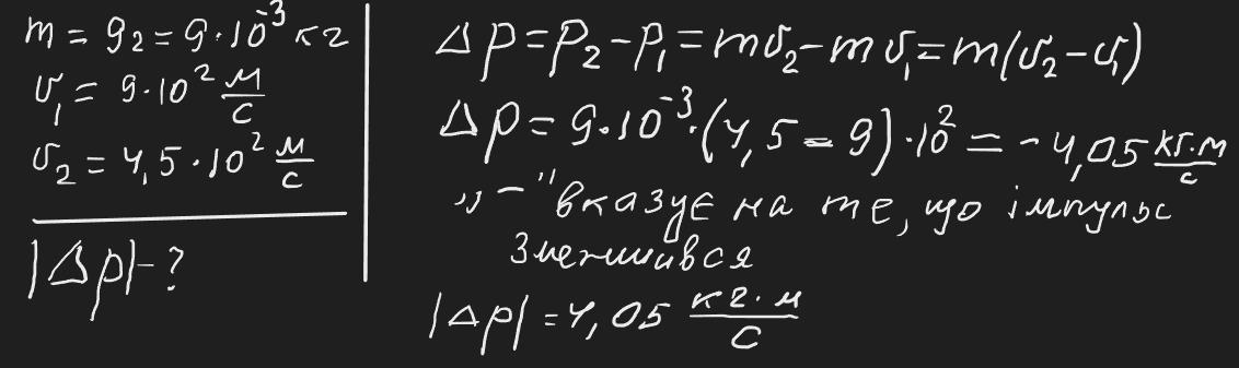
Куля масою 9 г пробила стіну і внаслідок цього швидкість її зменшилася 900 м/с до 450 м/с. Визначте, на скільки зменшився імпульс кулi.
З поясненям

Ответы

Ответ дал: zybkov1950
1

Відповідь: Див. додаток

Пояснення:

Приложения:
Вас заинтересует