• Предмет: Физика
  • Автор: usernet06092017
  • Вопрос задан 3 года назад

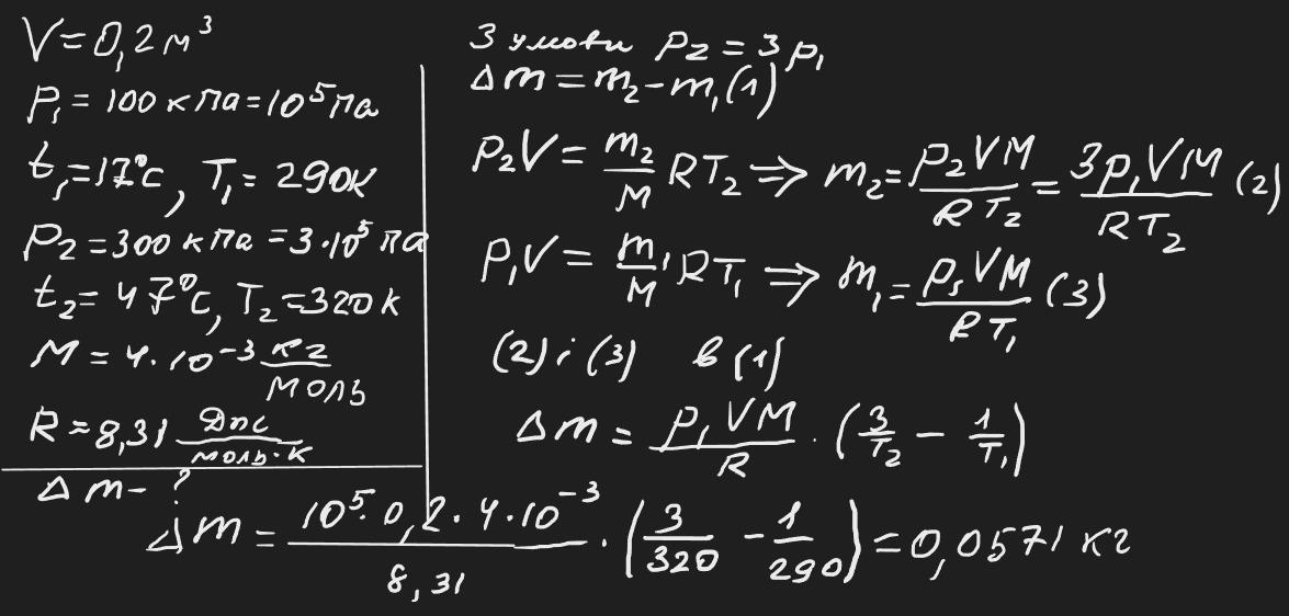
У балоні об'ємом 0,2 м 3 під тиском 100 кПа при 17 °С знаходиться гелій. Виберіть межі, в яких знаходиться маса гелію, яку додали в балон, якщо тиск газу став 300 кПа, а температура підвищилася до 47 °С:​

Ответы

Ответ дал: zybkov1950
0

Відповідь: 57 г < Δm < 57,1 г

Пояснення:

Приложения:
Вас заинтересует