• Предмет: Математика
  • Автор: muratovmi
  • Вопрос задан 3 года назад

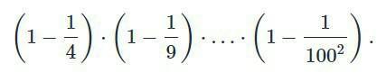
Найдите значение выражения​

Приложения:

Ответы

Ответ дал: dobra888
1

Відповідь:  101/200 .

Покрокове пояснення:

Розпишемо різниці квадратів виразів у всіх дужках і скоротимо :

  ( 1 - 1/4 )•( 1 - 1/9 )•( 1 - 1/16 )• . . . •( 1 - 1/100² ) = ( 1 - 1/2 )•( 1 + 1/2 ) X

 X ( 1 - 1/3 )•( 1 + 1/3 )•( 1 - 1/4 )•( 1 + 1/4 ) •. . .• ( 1 - 1/100 )•( 1 + 1/100 ) =

 = 1/2 • 3/2 • 2/3 • 4/3 • 3/4 • 5/4 • 6/5 • 5/6 • . . . • 99/100 • 101/100 =

 = 1/2 • 101/100 = 101/200 .  

Вас заинтересует