• Предмет: Алгебра
  • Автор: ждлор
  • Вопрос задан 10 лет назад

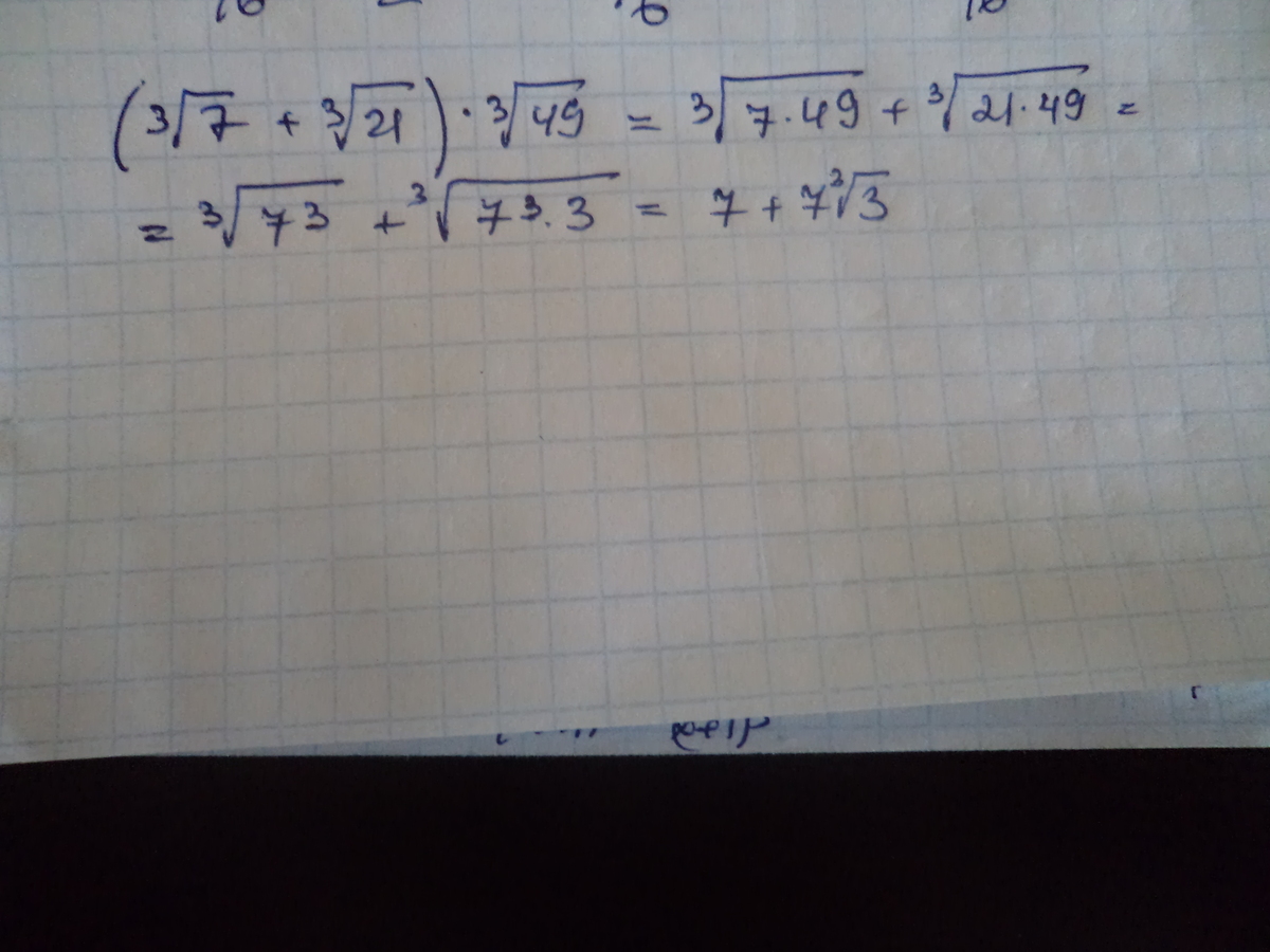
Упростите выражение:
(³√7+³√21)* ³√49 = 

Ответы

Ответ дал: Mydrый
0
решениееееееееееееееее
Приложения:
Ответ дал: ждлор
0
Спасибо большое
Ответ дал: mmb1
0
(³√7+³√21)* ³√49 = ∛7*7²+∛3*7*7²=7+7∛3=7(1+∛3)
Приложения:
Вас заинтересует