• Предмет: Математика
  • Автор: sonyachernobai
  • Вопрос задан 3 года назад

помогите решить до завтра пожалуйста!! сегодня 01.07.22​

Приложения:

Ответы

Ответ дал: igormakw228
0

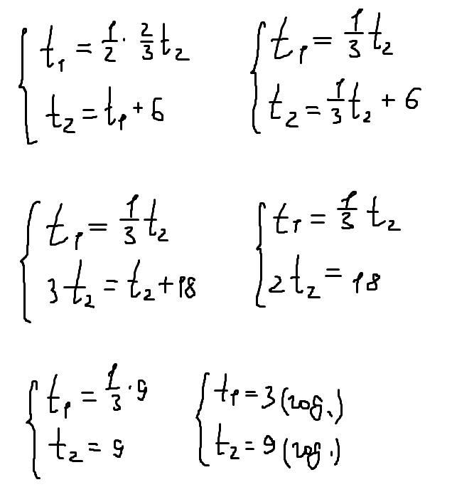
Ответ:

3 і 9 години

Пошаговое объяснение:

Приложения:
Вас заинтересует