• Предмет: Геометрия
  • Автор: kamilmatematik100504
  • Вопрос задан 3 года назад

.......................................

Приложения:

Ответы

Ответ дал: KuOV
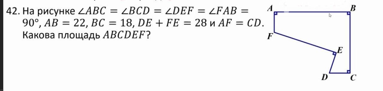
2

Ответ:

204 кв. ед.

Объяснение:

Дочертим фигуру до прямоугольника АВСК.

AF = CD = x

FK = 18 - x

KD = 22 - x

Чтобы найти площадь ABCDEF, можно от площади прямоугольника АВСК отнять площади двух треугольников: FED и FKD.

DE + FE = 28

Возведем равенство в квадрат:

DE² + 2DE·FE + FE² = 784

Учитывая, что DE² + FE² = FD² по теореме Пифагора из прямоугольного треугольника FED, а

S_{FED}=\dfrac{1}{2}DE\cdot FE, получаем:

FD^2+4S_{FED}=784            (1)

С другой стороны из прямоугольного треугольника FKD:

FD² = FK² + DK² = (18 - x)² + (22 - x)²

FD² = 324 - 36x + x² + 484 - 44x + x² = 2x² - 80x + 808

Подставим в (1):

2x^2-80x+808+4S_{FED}=784

4S_{FED}=-2x^2+80x-24

S_{FED}=-0,5x^2+20x-6

Выразим через х площадь треугольника FKD:

S_{FKD}=\dfrac{1}{2}FK\cdot DK

S_{FKD}=\dfrac{1}{2}(18-x)(22-x)=\dfrac{1}{2}(396-18x-22x+x^2)=

=\dfrac{1}{2}(x^2-40x+396)=0,5x^2-20x+198

Тогда сумма площадей треугольников FED и FKD:

S_{FED}+S_{FKD}=-0,5x^2+20x-6+0,5x^2-20x+198=192

Площадь прямоугольника ABCK:

S_{ABCK}=AB\cdot BC=22\cdot 18=396

Тогда площадь ABCDEF:

S=S_{ABCK}-(S_{FED}+S_{FKD})=396-192=204

Приложения:

BMW52: Предполагали что-то ли, что сумма площадей будет конкретное число? Или как?
kamilmatematik100504: Можно было решить намного проще собрав четыре такие фигуры вместе , но я хотел увидеть альтернативный метод https://prnt.sc/fzbA2luJGJIV
Вас заинтересует