• Предмет: Математика
  • Автор: Mmissbrain
  • Вопрос задан 3 года назад

срочно решить , даю 30 баллов​

Приложения:

Ответы

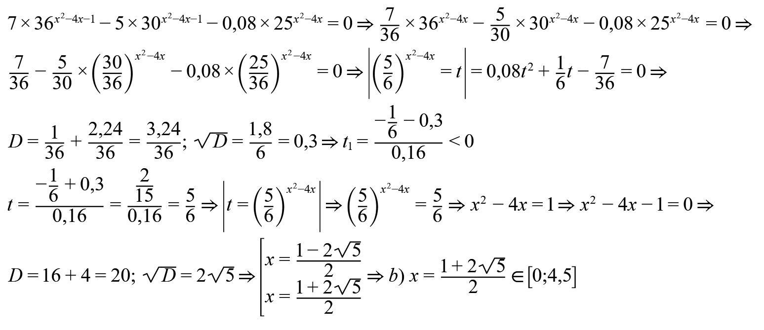
Ответ дал: palilov243659
0

Ответ:

Пошаговое объяснение:

/////////////////////////////////////

Приложения:
Ответ дал: sangers1959
0

Пошаговое объяснение:

7*36^{x^2-4x-1}-5*30^{x^2-4x-1}-0,08*25^{x^2-4x}=0\\7*36^{x^2-4x-1}-5*30^{x^2-4x-1}-25*0,08*25^{x^2-4x-1}=0\\7*36^{x^2-4x-1}-5*30^{x^2-4x-1}-2*25^{x^2-4x-1}=0 .

Пусть х²-4х-1=t           ⇒

7*36^t-5*30^t-2*25^t=0\\7*6^{2t}-5*(6*5)^t-2*5^{2t}=0\ |:5^{2t}\neq 0\\7*(\frac{6}{5})^{2t}-5*(\frac{6}{5})^t-2=0.

Пусть (\frac{6}{5})^t=u > 0. \ \ \ \ \Rightarrow

7u^2-5u-2=0\\D=81\ \ \ \ \sqrt{D}=9\\ u_1=-\frac{2}{7}\notin(u > 0)\\ u_2=1.\\(\frac{6}{5})^t=1 \\(\frac{6}{5})^t=(\frac{6}{5})^0\\ t=0.\ \ \ \ \ \Rightarrow\\ x^2-4x-1=0\\D=20\ \ \ \ \ \sqrt{D}=\sqrt{20}=2\sqrt{5} .\\a)\\ x_1=2-\sqrt{5}.\\x_2=2+\sqrt{5} \\b)\\x_1=2-\sqrt{5}  \approx- 0,24\notin[0;4,5].\\x_2=2+\sqrt{5} \approx4,24\in[0;4,5].

Ответ: a) x=2±√5         b) x=2+√5.

Вас заинтересует