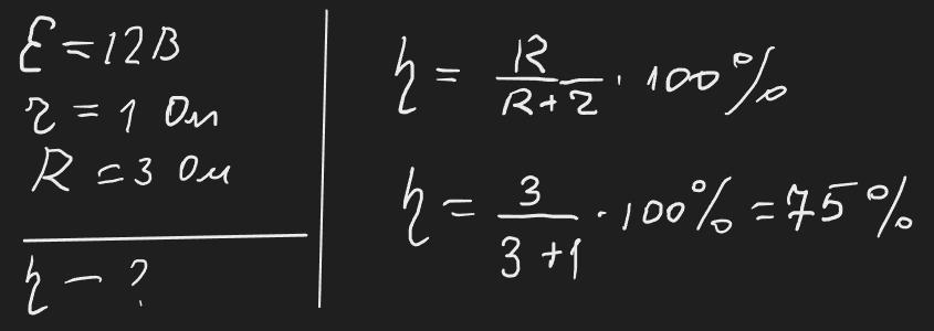
До джерела струму з ЕРС 12 В та внутрішнім опором 1 Ом приєднаний резистор опором 3 Ом. Визначити ККД джерела (в %).
Ответы
Ответ дал:
1
Відповідь: 75%
Пояснення:
Приложения:

Вас заинтересует
2 года назад
2 года назад
2 года назад
7 лет назад
7 лет назад
9 лет назад