• Предмет: Алгебра
  • Автор: suhorukovivan8
  • Вопрос задан 3 года назад

Три задачи решите пожалуйста

Приложения:

Ответы

Ответ дал: tarasabc
1

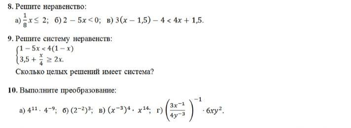
8.а)

\frac{1}{8}x\leq 2/*8\\ x\leq 16\\

х є (-∞;16]

8. б)

2-5x < 0\\-5x < -2/*(-1)\\5x > 2\\x > 0.4

х є (0,4;+∞)

8. в)

3(x-1.5)-4 < 4x+1.5\\3x-4.5-4 < 4x+1.5\\3x-8.5 < 4x+1.5\\3x-4x < 1.5+8.5\\-x < 10/*(-1)\\x > -10

х є (-10;+∞)

9.

\left \{ {{1-5x < 4(1-x)} \atop {3.5+\frac{x}{4}\geq 2x }/*4} \right. \\\left \{ {{1-5x < 4-4x} \atop {14+x\geq 8x }} \right. \\\left \{ {{1-4 < 5x-4x} \atop {x-8x\geq -14}} \right. \\\left \{ {{x > -3} \atop {7x\leq 14}} \right. \\\left \{ {{x > -3} \atop {x\leq 2}} \right.

х є (-3;2]

-2;-1;0;1;2  — 5 целых решений

10.а)

4^{11}*4^{-9}=4^{11-9}=4^2=16

10.б)

(2^{-2})^3=2^{-2*3}=2^{-6}=\frac{1}{2^6}=\frac{1}{64}

10.в)

(x^{-3})^4*x^{14}=x^{-3*4+14}=x^{-12+14}=x^2

10.г)

(\frac{3x^{-1}}{4y^{-3}} )^{-1}*6xy^2=\frac{4y^{-3}}{3x^{-1}} *6xy^2=8y^{-3}x*xy^2=8y^{-3+2}x^{1+1}=8y^{-1}x^2=\frac{8x^2}{y}

Вас заинтересует
2 года назад