Побудувати елiпc та знайти координати вершин, фокусів, довжину осей,відстані між фокусами та ексцентриситет.
Приложения:

Ответы
Ответ дал:
0
Пошаговое объяснение:
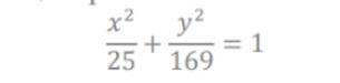
1) каноническое уравнение эллипса:
2) так как b>a, тогда для работы по каноническому виду повернём оси координат на 90° по часовой стрелке;
3) Вершины эллипса: А₁(13;0), А₂(-13;0), В₁(0;-5) и В₂(0;5);
Фокусы эллипса: F₁(12;0), F₂(-12;0);
Длина осей: A₁A₂=26; B₁B₂=10;
Расстояние между фокусами эллипса: F₁F₂=2c=24, где
Эксцентриситет эллипса, ε:
4) эскиз во вложении.
P.S. по возможности перепроверьте подход к других источниках. Точки в решении не соответствуют точкам на эскизе!
Приложения:

Вас заинтересует
2 года назад
2 года назад
2 года назад
2 года назад
7 лет назад