• Предмет: Алгебра
  • Автор: Аноним
  • Вопрос задан 3 года назад

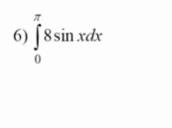
Помогите с интегралом

Приложения:

Ответы

Ответ дал: DinaTae04
0

п п п

8sinxdx=8sinxdx=-8cosx|=

0 0 0

-8cosп-(-8cos0)=8+8=16

Формулы:

sinx=-cosx

b

dx=b-a

a

Ответ дал: tarasabc
2

\int\limits^\pi _0 {8sinx} \, dx =-8cosx|^\pi _0=-8cos\pi-(-8cos0)=-8*(-1)-(-8*1)=8+8=16

Вас заинтересует