• Предмет: Математика
  • Автор: 120ka1
  • Вопрос задан 3 года назад

Срочнооооо помогите
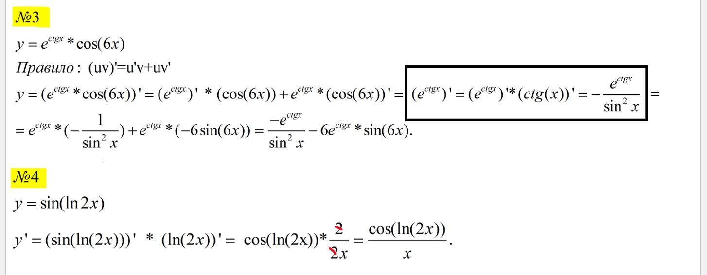
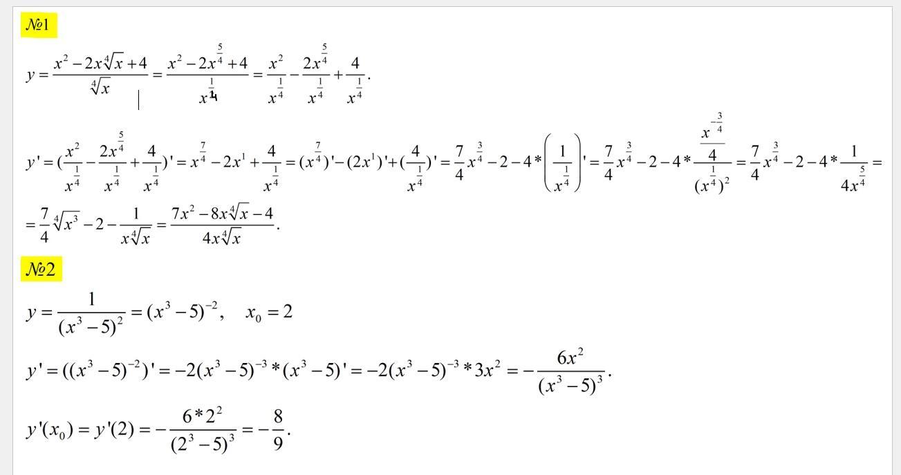
Продефиренціюйте задані функції

Приложения:

Ответы

Ответ дал: yevheniiavz
1

дивіться фото..............................

Приложения:
Вас заинтересует