• Предмет: Алгебра
  • Автор: gsf26sv
  • Вопрос задан 3 года назад

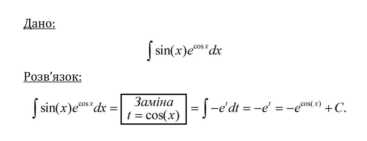
Знайти невизначений інтеграл:

Приложения:

Ответы

Ответ дал: yevheniiavz
0

дивіться фото......................

Приложения:
Вас заинтересует