• Предмет: Математика
  • Автор: amor777
  • Вопрос задан 3 года назад

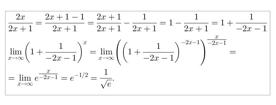
знайти границю функції. lim x→∞ (2x)/(2x+1)^x​

Приложения:

tarasabc: =1
genius20: Нет

Ответы

Ответ дал: genius20
1

Ця границя шукається шляхом підведення до другої чудової границі:

\left(1+\dfrac 1x\right)^x=e

Приложения:

amor777: спасибо ❤️
genius20: Можеш ще в останньому рядку розписати e^(x/(-2x-1))=e^(1/(-2-1/x))
Вас заинтересует