• Предмет: Алгебра
  • Автор: a4mainckraft
  • Вопрос задан 3 года назад

СРОЧНО ОЧЕНЬ ЛЁГКОЕ УПРАЖНЕНИЕ​

Приложения:

Ответы

Ответ дал: dyexfnf
1

Ответ:

Объяснение:

Общий знаменатель 72

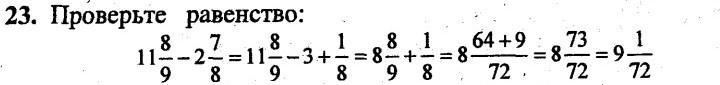
11 8/9 - 2 7/8 = 11 64/72 - 2 63/72 = 9 1/72

Ответ дал: iramazurk
0

Объяснение:

11. 8/9 - 2. 7/8 = 11. (8*8)/(9*8) - 2. (7*9)/(8*9) =

11. 64/72 - 2. 63/72 = (11-2) + (64-63)/72 =

9 + 1/72 = 9. 1/72

Вас заинтересует