• Предмет: Математика
  • Автор: rulikk90
  • Вопрос задан 3 года назад

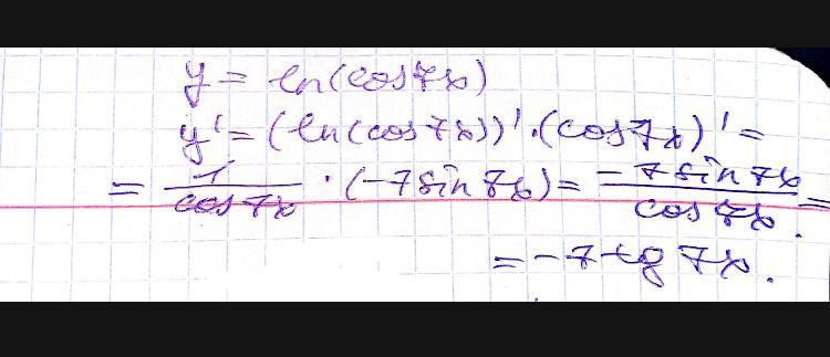
Диференціювати y= ln cos 7x

Приложения:

Ответы

Ответ дал: yevheniiavz
1

дивіться фото...............................

Приложения:
Вас заинтересует