• Предмет: Математика
  • Автор: only4ldoe1337
  • Вопрос задан 3 года назад

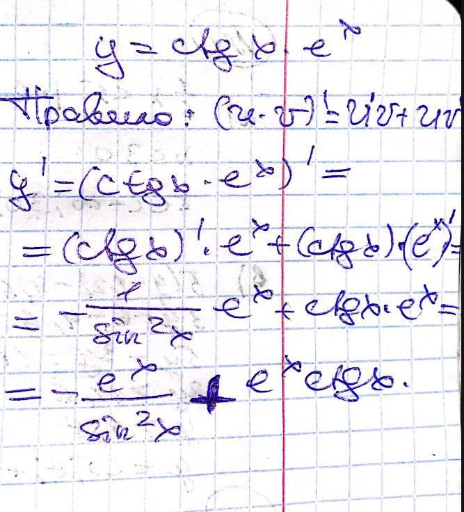
Знайти похідні від заданих функцій.
y=ctgx*e^{x}

Ответы

Ответ дал: yevheniiavz
0

дивіться фото...................................

Приложения:
Вас заинтересует