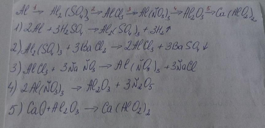
Напишіть рівняння реакцій, за допомогою яких можна здійснити такі перетворення: Al → Al2(SO4)3 → AlCl3 → Al(NO3)3 → Al2O3 → Ca(AlO2)2 .
Ответы
Ответ дал:
1
Объяснение:
всі пояснення на фото ..
Приложения:

solka0000:
якщо зможете ,то відмітьте мою відповідь ,як найкращу ,будь ласка
Вас заинтересует
2 года назад
2 года назад
2 года назад
7 лет назад
7 лет назад