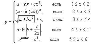
Допоможіть будь ласка!
Скласти програму обчислення значення функції

Приложения:

Ответы

Ответ дал: UNCLERUS
1

Ответ:Var x,y:real;

begin

 write('x=');read(x);

 if x<5 then y:=(4*sqr(x)+1)/(x-5)

        else y:=3*sqr(x)-2;

 Writeln(y:1:2);

end.

Объяснение:

Вас заинтересует