• Предмет: Алгебра
  • Автор: ArtemKushnir212
  • Вопрос задан 3 года назад

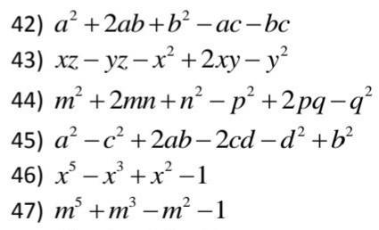
пж помогите разложить на множники ​

Приложения:

olgaua64: Групуй по 2 чи 3 доданки

Ответы

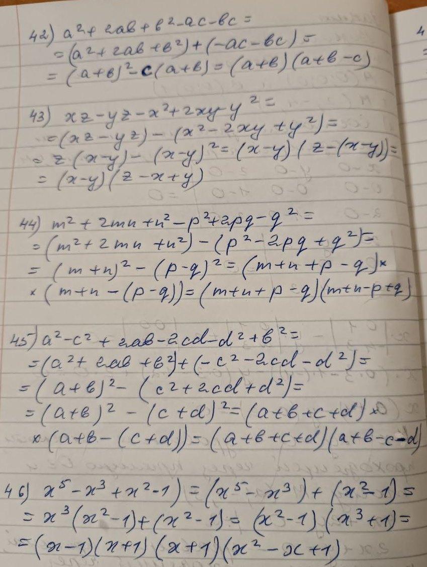
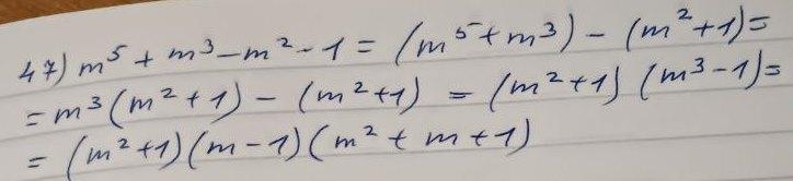
Ответ дал: ViSanM
2

Ответ:

См. решение ниже

Объяснение:

Приложения:

ArtemKushnir212: спс
ViSanM: Пжс))
Вас заинтересует