• Предмет: Математика
  • Автор: lvlad2792
  • Вопрос задан 3 года назад

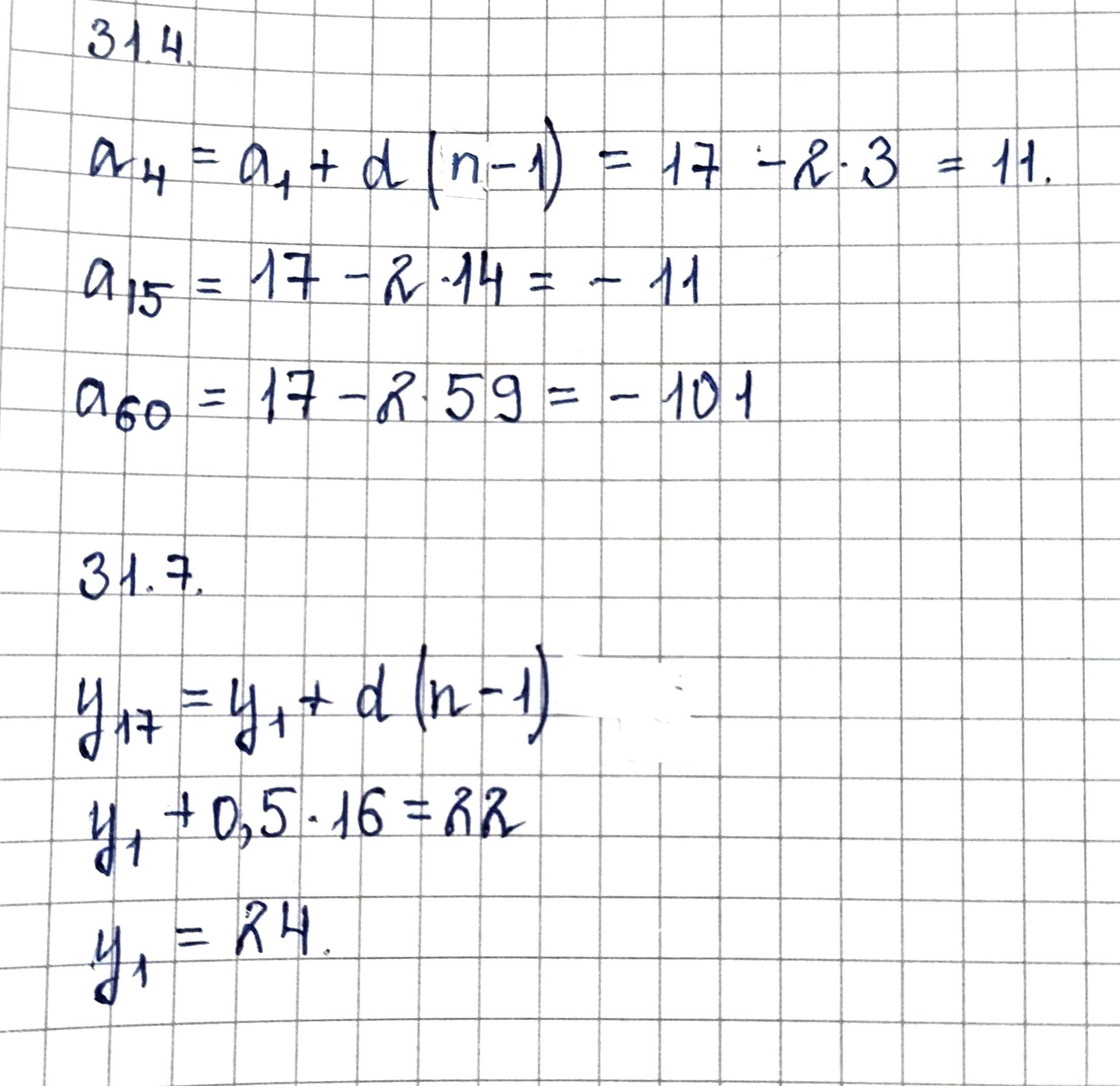
номер 31.4 и 31.7, благодарю)

Приложения:

Ответы

Ответ дал: kykyryza256
0

Ответ:

Решение на фотографии

Приложения:
Вас заинтересует