Решение пожалуйста
5-е с коротким объяснением пожалуйста
Приложения:

kykyryza256:
Первый х точно в степени 2?
Ответы
Ответ дал:
1
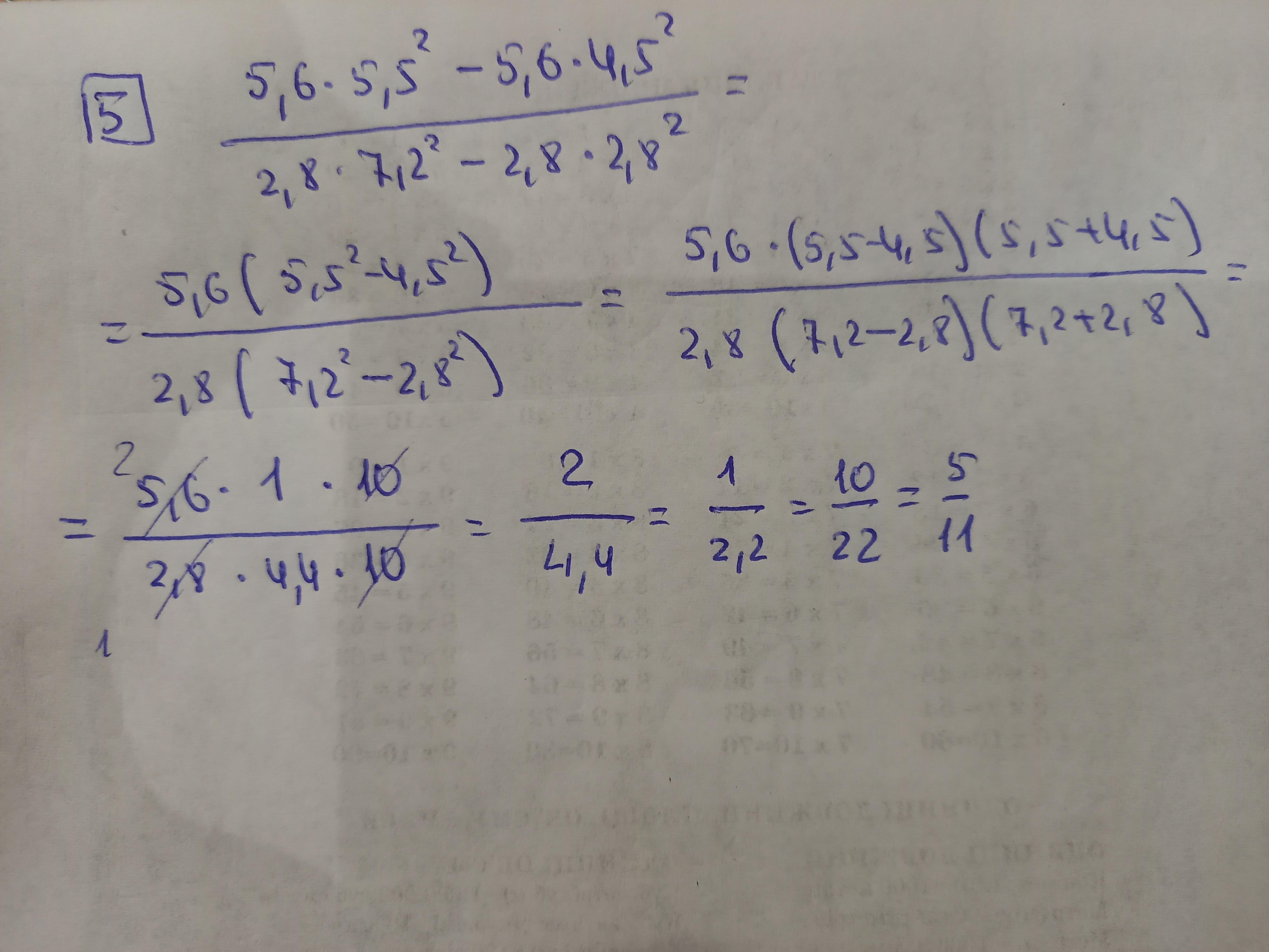
Відповідь: 5/11
Покрокове пояснення:
Приложения:

Ответ дал:
1
Ответ:
5/11 или 0,(45).
Пошаговое объяснение:
решение на фото.
Приложения:

Вас заинтересует
2 года назад
2 года назад
2 года назад
7 лет назад
7 лет назад
9 лет назад