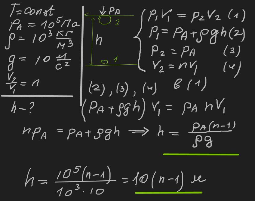
На дні ставка виникла бульбашка радіусом d. Під час підняття до поверхні ставка об’єм бульбашки збільшився у n раз. Знайдіть глибину ставка у цьому місці, вважаючи розширення газу ізотермічним, а сам газ у бульбашці ідеальним. Вважайте, що діаметр бульбашки достатньо малий, аби було необхідно враховувати тиск Лапласа.
Ответы
Ответ дал:
1
Відповідь: Див. додаток
Пояснення:
Приложения:

Вас заинтересует
2 года назад
2 года назад
2 года назад
2 года назад
7 лет назад
7 лет назад
9 лет назад
9 лет назад