• Предмет: Математика
  • Автор: proo90440
  • Вопрос задан 3 года назад

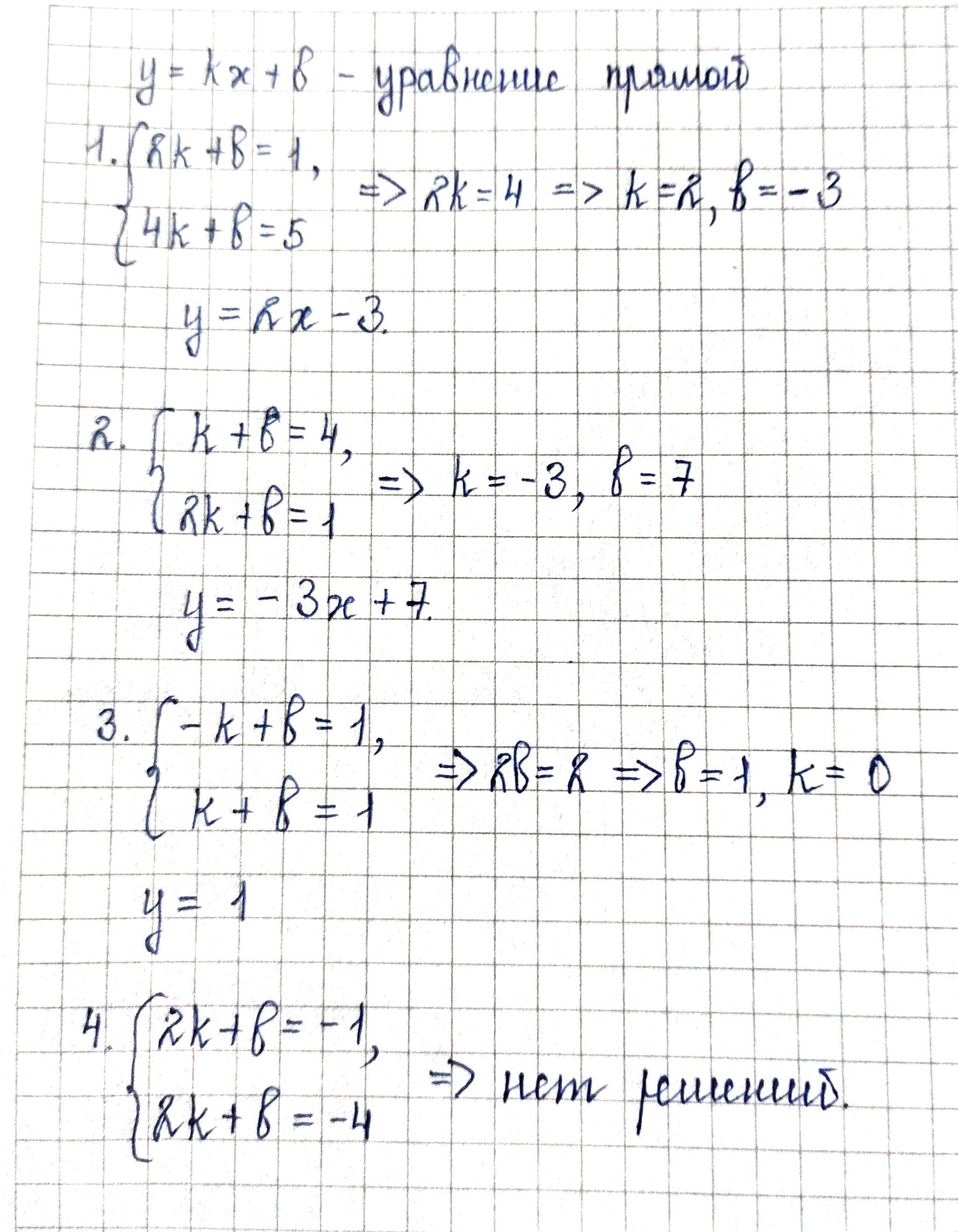
Запишите уравнение прямой проходящей через точки 1) А (2;1) и B (4;5) 2) A (1;4) B (2;1) 3)A (-1;1 B (1;1) 4) A (2;-1) B(2;-4)

Ответы

Ответ дал: kykyryza256
0

Ответ:

Решение на фотографии.

Приложения:
Вас заинтересует