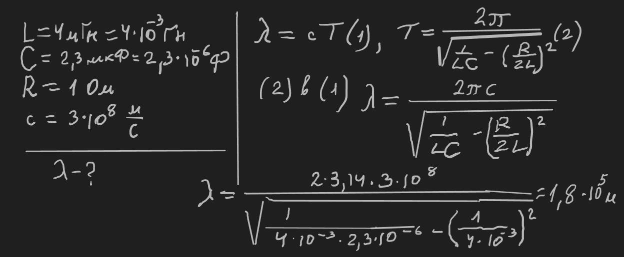
Коливальний контур складається з котушки з індуктивністю L = 4 мГн,
конденсатора електроємність С = 2,3 мкФ і резистора опором R = 1 Ом.
Визначити значення довжини хвилі λ, на яку налаштований коливальний
контур.
Ответы
Ответ дал:
0
Відповідь: Див. додаток
Пояснення:
Приложения:

Вас заинтересует
2 года назад
7 лет назад
7 лет назад
9 лет назад
9 лет назад